发布时间:2016-07-17 10:02 我来说说 我要投稿
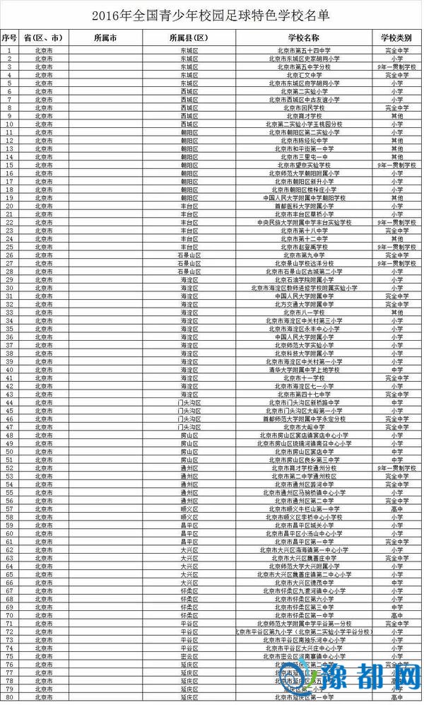
教育部关于公示2016年全国青少年校园足球特色学校及试点县(区)遴选结果名单的通知如下,拟认定并命名北京市第五十四中学等4755所中小学校为“全国青少年校园足球特色学校”,北京市海淀区等31个县(区)为“全国青少年校园足球试点县(区)”,北京80所学校上榜。
为深入贯彻落实《中国足球改革发展总体方案》《教育部等6部门关于加快发展青少年校园足球的实施意见》精神,根据《教育部办公厅关于做好2016年全国青少年校园足球特色学校及试点县(区)遴选工作的通知》(教体艺厅函〔2016〕2号)要求,在有关单位自主申报、省级教育行政部门审核推荐的基础上,我部组织专家对各地申报推荐的特色学校和试点县(区)进行了综合认定。拟认定并命名北京市第五十四中学等4755所中小学校为“全国青少年校园足球特色学校”,北京市海淀区等31个县(区)为“全国青少年校园足球试点县(区)”。现将有关名单进行公示,公示时间为2016年6月8日—6月15日(可根据发布时间算起顺延)。

2016年全国青少年校园足球试点县区名单

“2016北京小升初交流群”QQ群(511219565)
《校园足球学校名单公示啦,北京80所学校上榜!》由河南新闻网-豫都网提供,转载请注明出处:http://edu.yuduxx.com/sxks/xsc/432765.html,谢谢合作!
豫都网版权与免责声明
1、未经豫都网(以下简称本网)许可,任何人不得非法使用本网自有版权作品。
2、本网转载其他媒体之稿件,以及由用户发表上传的作品,不代表本网赞同其观点和对其真实性负责。
3、如因作品版权和其它问题可联系本网,本网确认后将在24小时内移除相关争议内容。