发布时间:1970-01-01 08:00 我来说说 我要投稿
高中数学知识点总结,好成绩并不难,努力+方法就能成功。高中数学所有公式整理发给大家啊!希望对大家有帮助!
集合


基本初等函数Ⅰ




函数应用




空间几何体

点、直线和平面的位置关系



空间向量与立体几何





直线与方程




圆与方程



圆锥曲线与方程



统计

概率

离散型随机变量的分布列



三角函数





三角函数的图象与性质



三角恒等变换

解三角形


平面向量



数列



不等式


常用逻辑用语


导数及其应用




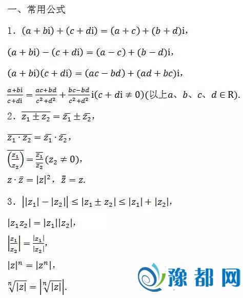
复数

计数原理



坐标系与参数方程



更多高考信息、高考备考方法、学习资料请关注小编微信号:2107524032
高中生最需要的高中资讯平台——微信公众号:高分网高考(ID:igaokao100)
《高中数学知识点总结!送给高中生的福利,收藏!》由河南新闻网-豫都网提供,转载请注明出处:http://edu.yuduxx.com/sxks/gk/420484.html,谢谢合作!
豫都网版权与免责声明
1、未经豫都网(以下简称本网)许可,任何人不得非法使用本网自有版权作品。
2、本网转载其他媒体之稿件,以及由用户发表上传的作品,不代表本网赞同其观点和对其真实性负责。
3、如因作品版权和其它问题可联系本网,本网确认后将在24小时内移除相关争议内容。
这个还挺清晰的!